Muitos conceitos importantes e problemas da física e engenharia dependem do cálculo da área abaixo da curva de uma função. Por exemplo, a área abaixo da curva de um gráfico da força X deslocamento é justamente o trabalho feito pelo objeto.
Os gregos da antiguidade possuíam grande interesse no cálculo de áreas. Arquimedes utilizava o método da exaustão para calcular a área de uma figura. Mais tarde, Newton e Leibniz trabalharam no que conhecemos hoje como calculo diferencial, e os problemas de Arquimedes encontraram solução mais fácil. As integrais são usadas para resolver problemas como esses. Conheça mais sobre elas, a seguir.
Primitiva de uma função
Seja f uma função definida num intervalo I, uma primitiva de f em I é uma função F, tal que: F’(x) = f(x) – para todo x em I.
Por outro lado, duas funções podem ter derivadas iguais em um intervalo, sendo a diferença entre elas uma constante. Diremos, então, que a família das primitivas de f em I e dada pela seguinte notação:
Sendo f(x) o integrando e k a constante de integração.
Uma primitiva é também chamada integral indefinida de f. Para encontrar primitivas, podemos utilizar o seguinte artifício:
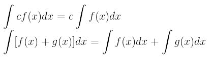
Existem algumas propriedades que facilitam os nossos cálculos. Desde que f e g possuam primitivas e seja c uma constante, podemos dizer que:
Integrais definidas
Para calcularmos a área abaixo da curva de uma função, utilizamos integrais definidas. A integral definida de f em um intervalo [a,b] pode ser calculada utilizando o 1° Teorema Fundamental do Cálculo:
- Se f for integrável em [a,b] e se F for uma primitiva de f em [a,b], então:
Perceba que, nesse caso, não precisamos somar a constante k ao nosso resultado. Porém, em integrais indefinidas é necessário.
Disso, é válido as seguintes propriedades:
- Sejam f, g integráveis em [a,b] e k uma constante, então:

- Seja f continua em [a,b] com f(x) ≥ 0 em [a,b], a área da região S é definida por:
Nem sempre será de imediato obter as primitivas de algumas integrais. Por exemplo, é difícil imaginar qual seria a integral de ∫sen² x + 2cos x . sen 3x dx. Para casos assim, utilizamos as seguintes técnicas de integração:
Mudança de variável na integral definida
Podemos realizar uma mudança de variável para facilitar os cálculos. Seja f contínua num intervalo I e sejam a e b dois reais quaisquer em I, seja g: [c, d] -> I, com g’ continua em [c, d], temos:
Para entender melhor, podemos analisar um exemplo. Vamos calcular:
Nesse caso, é inviável realizar cálculos para encontrar (x – 1)10, pois existem métodos mais simples, como a substituição.
Façamos:
x – 1 = u, então x = u + 1
x = u + 1
dx = (u + 1)’ = du
Se x = 0, então 0 = u + 1 → u = -1
Se x = 1, então 1 = u + 1 → u = 0
Técnicas de primitivação
Em alguns casos, não é necessário realizar cálculos extensos para a resolução de certas integrais. Uma vez demonstradas, podemos utilizar as primitivas imediatas para encontrar primitivas de modo mais rápido:
Além disso, podemos conferir nosso resultado para verificar se a primitiva obtida está correta. Em uma integral definida, existe apenas uma maneira da sua primitiva ser igual a zero, que é quando a função é limitada por um intervalo do tipo [-r, r]:
Caso os limites de integração sejam, por exemplo, 2 e 4, sua primitiva não será 0.
Além disso, uma integral definida só irá resultar em um valor negativo caso f(x) < 0.
Integração por partes
Suponhamos f e g definidas e deriváveis num mesmo intervalo I. Temos:
[f(x) g(x)]’ = f’(x) g(x) + f(x) g’(x)Ou
f(x) g’(x) = [f(x) g(x)]’ – f’(x) g(x)
Integrando f(x) g’(x), iremos obter a regra da integração por partes, que é:
Fazendo u = f(x) e v = g(x), teremos du = f’(x) dx e dv = g’(x), o que nos permite escrever essa regra na forma usual:
Outras técnicas de integração
Em integrais que envolvem razões trigonométricas, podemos utilizar as identidades trigonométricas, por exemplo:
- Cos 2x = cos² x – sen² x
- Cos² x + sen² x = 1
- Cos² x = ½ + (cos 2x)/2
- Sen² x = ½ – (sen 2x)/2
Podemos utilizar identidades trigonométricas para encontrar primitivas de integrais do tipo ∫(sen 3x)(sen 2x) dx:
cos(a – b) = cos a · cos b + sen a · sen b (1)
cos(a + b) = cos a · cos b – sen a · sen b (2)
Fazendo (1) + (2), temos:
Cos a · cos b = 1/2 [cos (a-b) + cos (a+b)]
Fazendo (2) – (1):
sen a · sen b = 1/2 [cos (a-b) – cos (a+b)]
Ainda trabalhando com identidade trigonométricas, podemos calcular integrais do tipo ∫(sen3x)(cos2x) dx.
sen (a + b) = sen (a) . cos(b) + cos (a) . sen (b) (3)
sen (a – b) = sen (a) . cos(b) – cos (a) . sen (b) (4)
Fazendo (3) + (4), temos:
sen a · cos b =1/2 [sen (a+b) + sen (a-b)]
Fazendo (3) – (4), temos:
sen b · cos a =1/2 [sen (a+b) – sen (a-b)]
As propriedades da potenciação são ferramentas que simplificam operações envolvendo exponenciação. Conheça cada uma delas!
👉 Continue Lendo.. Clique aqui