Anúncios
A história da óptica começou com a fabricação e o estudo de espelhos e lentes. Dizemos que o objeto de estudo da reflexão é a “ciência dos espelhos” e o objeto de estudo da refração está voltado para a “ciência das lentes”.
Desde o século XIV, muitas pinturas europeias retratam religiosos com óculos ou lentes de aumento, ou seja, seu uso já não é algo recente. Vamos conhecer, a seguir, o que são lentes esféricas e suas propriedades. Só aqui, no Gestão Educacional!
Lentes esféricas: o que são?
Lente é qualquer corpo transparente limitado por duas superfícies, das quais pelo menos uma é curva. Quando pelo menos uma dessas faces é esférica, chamamos essa lente de lente esférica.
Há seis tipos de lente que preenchem essas condições. Veja em corte o perfil de cada um desses:
As lentes convergentes têm a parte do centro mais espessa que as bordas. Já as lentes divergentes têm as bordas mais espessas que o centro.
Elementos de uma lente esférica
Para definirmos os elementos de uma lente, vamos usar como exemplo uma lente biconvexa.
Chamamos de face 1 aquela que o raio de luz incide, ou seja, a face que recebe os raios de luz. Chamamos de face 2 aquela em que os raios de luz emergem. A reta s é o eixo principal da lente e a intersecção das faces da lente com a reta s são os vértices V1 e V2.
A calota esférica que contém a face 1 tem raios R1 e centro de curvatura C1. O mesmo ocorre para a face 2. Vemos que o eixo principal s contém os pontos C1 e C2.
Para entender melhor, veja a imagem abaixo:
A lente é representada pela curvatura em azul. Uma das faces, nesse caso, é plana, então o raio de curvatura de R2 é infinito.
Centro óptico e focos das lentes esféricas
Toda lente tem um ponto no qual qualquer raio de luz passa sem sofrer algum desvio. Esse ponto é chamado de Centro Óptico O. Em condições certas, esse ponto é único e coincide com os vértices da lente.
- O ≡ V1 ≡ V2
Dica: Esse sinal ≡ significa aproximadamente igual.
Uma lente possui dois focos: foco objeto F e foco imagem F’. Esses dois focos são simétricos em relação ao centro óptico da lente esférica. Portanto, F e F’ estão à mesma distância do centro óptico da lente.
Sendo f e f’ as distâncias focais, podemos dizer que: | f | = | f’ |
A distância de cada foco da lente é chamada de distância focal.
Em uma lente divergente, os raios que incidem são paralelos ao eixo principal. Ao entrar em contato com a lente, eles se espalham após sofrer dupla refração, ou seja, eles se afastam do eixo principal, se divergem. O foco, nesse caso, é chamado de foco virtual, pois é o encontro das projeções dos raios de luz.
Enquanto isso, em lentes convergentes, os raios de luz chegam paralelos ao eixo principal e, quando entram em contato com a lente, se concentram em um único ponto, chamado de foco.

Equação dos fabricantes
Essa equação possui esse nome pois ela é usada pelos fabricantes de lentes. Ela é usada para determinar a distância focal de lentes esféricas, dado o seu índice de refração absoluto (n) e os raios de curvatura das suas faces (R1 e R2).
Equação de conjugação das lentes esféricas delgadas
O referencial de Gauss consiste em um par de eixos ortogonais com origem no centro óptico da lente. No eixo das abscissas (eixo x), temos a parte do eixo que contém os objetos (contrária à luz incidente) e a parte do eixo que contém as imagens (mesma da luz emergente), como mostra a imagem abaixo.
Por convenção, temos que:
- Lente convergente: f > 0;
- Lente divergente: f < 0.
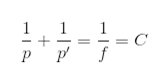
Relacionamos a abscissa do objeto (p), a abscissa da imagem (p’) e a distância focal da lente (f) por essa equação, dada por:
Podemos então dizer que p é a distância do objeto real ao centro óptico, quando esse objeto está localizado no eixo principal de uma lente esférica.
Relação entre a altura do objeto e a altura da imagem
Sendo y a altura do objeto de abscissa p e y’ a altura da imagem de abscissa p’, temos a seguinte relação:
Em exercícios, usaremos as seguintes convenções:
- p’ < 0 imagem real; p’ < 0 imagem virtual;
- y’ > 0 imagem direta; y’ < 0 imagem invertida.
Exercício resolvido
1) Uma pessoa percebe que a maior distância que ela enxerga nitidamente é um objeto a 0,4m. Qual a convergência da lente capaz de corrigir sua miopia?
RESPOSTA:
Precisamos “enganar” o sistema óptico fazendo com que um feixe de luz que venha do infinito pareça vir de um ponto localizado a 0,4m, posição na qual o olho consegue formar imagens nítidas.
A convergência C deve ser calculada pela equação de conjugação de lentes esféricas delgadas:
É preciso colocar, então, uma lente que conjugue um ponto imagem p’ = -0,4m. Como o ponto objeto p vem do infinito, temos que 1/p = 0.
Assim, faremos:
Você já se perguntou o que causa essa aparente redução de peso quando estamos imersos em água, como se fossemos mais leves enquanto nadamos?
👉 Continue Lendo.. Clique aqui