Onda é algo que se movimenta pelo espaço sem que, a rigor, haja deslocamento da matéria. Existem ondas mecânicas e ondas eletromagnéticas, mas hoje iremos tratar das ondas mecânicas, que é o caso das ondas sonoras.
Veja, a seguir, como se comportam as ondas sonoras e como utilizar seus conceitos em cálculos, só aqui, no Gestão Educacional!
Características das ondas sonoras
Quando alguém grita ou fala, se não houvesse ar, o som não se propagaria, ou seja, é preciso haver um meio material para essa propagação de ondas mecânicas, como o som.
Ondas sonoras também se propagam por todo o espaço, portanto, são tridimensionais. Para descreve-las matematicamente, usamos um sistema de três coordenadas.
Por fim, as ondas sonoras são longitudinais. Sabemos disso porque, para que uma fonte sonora gere ondas em todas as direções, por meio do ar, as moléculas e partículas que compõem o ar devem oscilar longitudinalmente, no mesmo sentido que as ondas sonoras se propagam.
Frequência, altura e espectro sonoro
A faixa de frequência em que existem as ondas sonoras (audíveis ou não pelo ser humano) é chamada de espectro sonoro.
O ouvido humano só é capaz de detectar a faixa de 20 Hz a 20 000 Hz. Sons acima de 20 000 Hz são conhecidos como ultrassons, usados em tecnologias como a ultrassonografia, em exames de acompanhamento de gravidez.
A frequência sonora é identificada como a altura do som: quanto maior a frequência, maior a altura ou mais agudo é o som; quanto menor a frequência, menor a altura ou mais grave é o som.
Propriedade ondulatória do som
O som apresenta todas as propriedades que caracterizam uma propagação ondulatória.
A reflexão é a propriedade mais notável, por causa do eco. O eco se caracteriza justamente pela percepção distinta entre um som emitido e refletido.
A refração do som é um fenômeno mais difícil de ser notado. Porém, quando estamos deitados na areia da praia, temos a estranha sensação de que estamos estranhamente em um local silencioso.
A difração pode ser percebida quando você deixa a porta do seu quarto aberta: tudo o que é dito lá dentro é ouvido lá fora, porque o som se propaga por difração.
A interferência sonora pode ser percebida quando você vai em algum show e existem locais onde se ouve muito mal e outros locais onde o som é muito intenso e distorcido.
Fórmulas mais utilizadas nos exercícios sobre ondas
As ondas sonoras apresentam propriedades ondulatórias que dependem de suas características físicas. Essas propriedades são: velocidade, frequência e comprimento de onda.
Para encontrar cada uma delas, que são denominadas como propriedades fisiológicas, utilizamos as fórmulas descritas abaixo:
- A frequência (f) da fonte e seu período (T) são iguais à frequência e ao período da onda. Eles se relacionam pela seguinte expressão:

- Para o cálculo da velocidade de um som, só se pode usar o conceito de velocidade escalar, definido pela expressão:

- Também podemos escrever essa velocidade usando o período (T) e o comprimento de onda (λ); ou a frequência (f) e o comprimento de onda (λ):

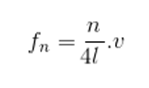
- Quando tratamos de música, é recorrente o uso de instrumentos de corda. Podemos relacionar o comprimento da corda (l), a frequência (fn) desse tipo de onda e a velocidade (v) da onda nessa corda por:

- No caso de instrumentos de sopro, em tubos abertos, no interior de um tubo aberto nas duas extremidades, as frequências de ondas estacionárias são dadas por:

- Já no caso de tubos fechados em uma das extremidades, utilizamos a expressão:

Exercícios resolvidos
1) Suponha que a velocidade do som em determinada região seja de 340m/s a certa temperatura. Qual a menor distância entre uma pessoa e o obstáculo em que o som se reflete para que ela ouça o eco de uma palavra sua?
RESPOSTA
Basta aplicar a expressão:
Sendo Δt = 0,10s o tempo mínimo para distinguir dois sons e vm = vs = 340m/s a velocidade do som, o espaço Δe percorrido pelo som é:
Δe = vs . Δt
Δe = 340 . 0,10
Δe = 34m
Como o espaço percorrido pelo som na ida e na volta é igual ao dobro da distância d da pessoa ao obstáculo, temos:
Δe = 2d
d = 34/2
d = 17m
2) Suponha que a velocidade do som em uma determinada região seja 336m/s. Que frequência um boiadeiro pode conseguir com um berrante de 1,2m de comprimento dessa região?
RESPOSTA
Como o berrante é um tubo sonoro fechado em uma das suas extremidades pela boca, as frequências naturais de ressonância são dadas por:
Como n = 1, 3, 5, … corresponde às frequências de ressonância que podem aparecer em um tubo fechado em uma das extremidades, f1 = 70 Hz, f3 = 210 Hz, f5 = 35-Hz, e assim por diante, o número n depende da energia da onda gerada, o que também depende do tocador. Quanto maior n, maior a frequência da onda estacionária e do som emitido.
Você já se perguntou o que causa essa aparente redução de peso quando estamos imersos em água, como se fossemos mais leves enquanto nadamos?
👉 Continue Lendo.. Clique aqui